• Als Forenbetreiber sind wir nicht verpflichtet, Beiträge oder Themen auf bloßen Wunsch zu löschen. Eine Entfernung erfolgt ausschließlich bei Vorliegen einer gesetzlichen Verpflichtung (z. B. bei rechtswidrigen Inhalten oder berechtigten datenschutzrechtlichen Ansprüchen). Bitte veröffentlichen Sie daher nur Inhalte, deren dauerhafte Speicherung und öffentliche Zugänglichkeit Sie zustimmen.

FS fordert Atteste für Medikamente die bei einer Hausdurchsuchung gefunden wurden

Macht es aber Sinn der Führerscheinstelle zu schreiben, dass ich die oben genannten Medikamente nie konsumiert habe?
Ich denke solche Schreiben kennen die zur Genüge.
Du wirst damit wohl nichts erreichen, außer dass du die Behördis scharf gestellt hast.
Manchmal ist es besser, einfach die Füße still zu halten und abzuwarten.
 
Hallo zusammen,

Gibt eine gesetzliche Frist wie lange eine Psychotherapie, die nicht den Fokus Sucht hat, abgeschlossen sein muss bevor man zur MPU geht. Muss diese überhaupt abgeschlossen sein? Ich bin aktuell in einer Langzeittherapie wegen einer Anpassungsstörung und Sozialphobie. Konsum spiele lange Zeit in meinem Leben eine große Rolle, war aber nicht der entscheidende Grund für die Therapie. In der Therapie schauen wir uns aktuell die Rolle von meinem Konsum im Bezug zur Sozialphobie an. Kann ich zur MPU gehen während diese Therapie noch läuft, es ist ja keine Suchttherapie?

Viele Grüße
 
Hallo Tom

Bleib doch bitte in deinem Thread.

Vorgeschichte:

Themen zusammengeführt *Nancy*
 
Zuletzt bearbeitet von einem Moderator:
Pass gut bei deinen Diagnosen auf. Ich habe folgenden Fall:
MPU auf Alkohol sofort bestanden, ABER im Arztberief einer Klinik standen mehrere Diagnosen. U.a Depression und Anpassungsstörung. Nun muss ich noch mal ein Gutachten nachreichen. Preis: 1290€
 
Danke für den Hinweis. Was für ein Gutachten musstest du nachreichen? Dann werde ich mir überlegen, die Diagnosen, bzw. Die Therapie zu verschweigen.
Ich werde die Tage die Frage dann im ursprünglichen Thread posten, danke für den Hinweis. Außerdem Werde ich bald den Fragebogen für das psychologische Gespräch bearbeiten, soll ich diesen dann in einem neuen Thread posten oder in dem alten?
 
Ich habe gesagt,dass ich in einer Klinik war und da an meinem Problem gearbeitet habe. Das wollten sie natürlich sehen. Es wäre beides Falsch gewesen. Nicht einreichen wäre verdächtig,und das einreichen hat mir nun einen Haufen Ärger eingebracht…. Ende Oktober weiß ich mehr.
 
Hallo tom305,

ich habe deine beiden Threads verbunden, bitte bleibe jetzt mit deinen Beiträgen zu diesem Thema hier in diesem Thread.
 
Hallo zusammen,

erstmal Danke für das zusammenführen der Beiträge. Ich habe euren Ratschlag befolgt und die Füße stillgehalten. Die FS-Stelle hat dann von mir gefordert ein kurzer schreiben zu senden, dass ich die Atteste nicht nachweisen kann, damit mein Verfahren weitergeht.

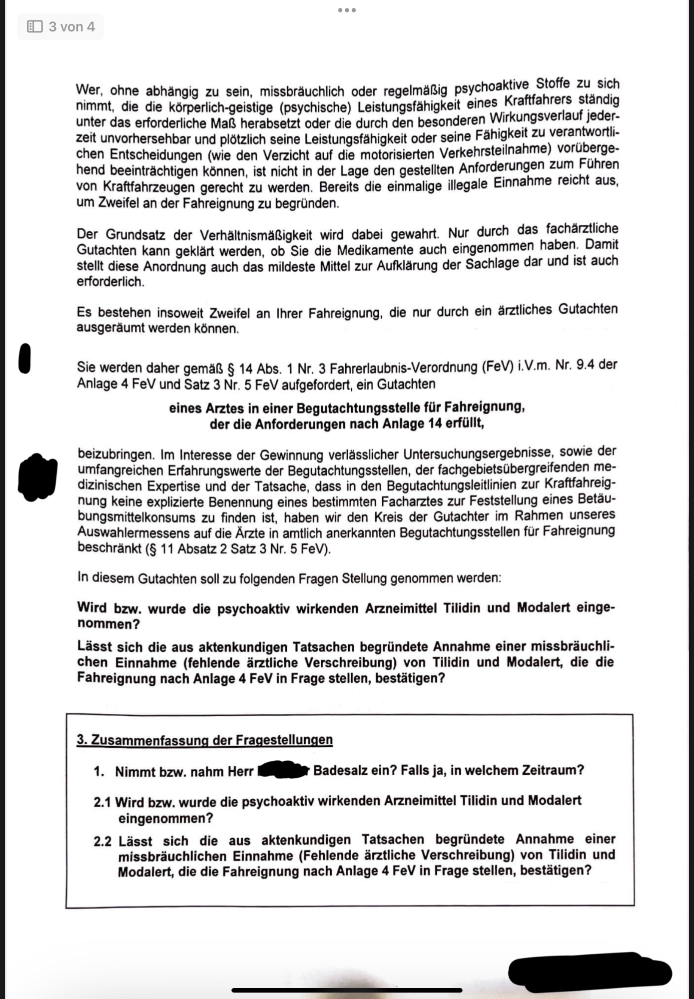
Ich habe jetzt ein Fachärztliches Gutachten angeordnet (ganzer Brief im Anhang) und versuche mich darauf vorzubereiten.

Fragestellungen:
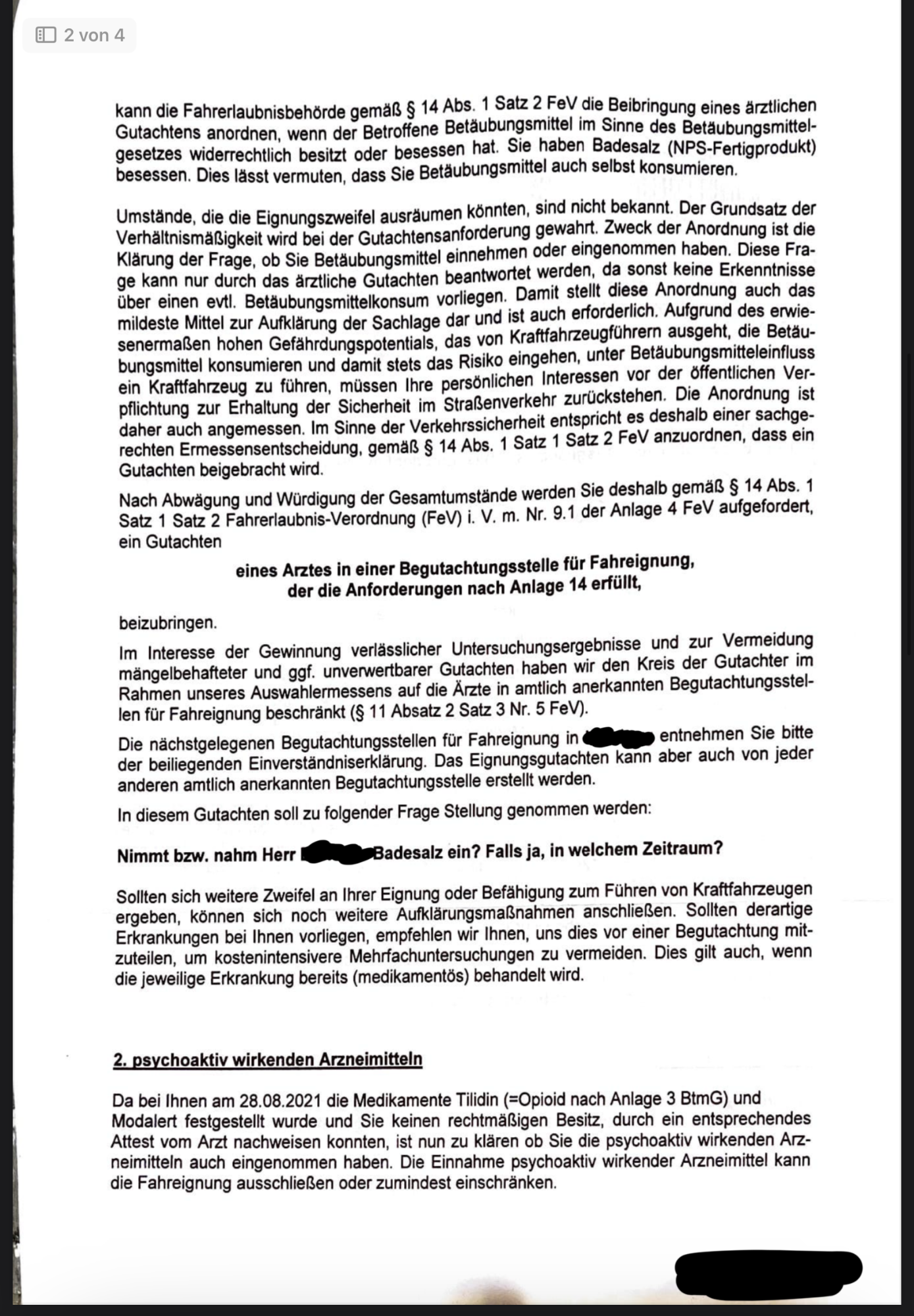
1. Nimmt bzw. nahm Herr XY Badesalz ein? Falls ja, in welchem Zeitraum?

2.1 Wird bzw. wurde die psychoaktiv wirkenden Arzneimittel Tilidin und Modalert eingenommen?

2.2 Lässt sich die aus aktenkundigen Tatsachen begründete Annahme einer
missbräuchlichen Einnahme (Fehlende ärztliche Verschreibung) von Tilidin und Modalert, die die Fahreignung nach Anlage 4 FeV in Frage stellen, bestätigen?

Ergibt sich aus der ärztlichen Begutachtung ein - auch zurückliegender - fahreignungs-ausschließender Betäubungsmittelkonsum oder eine missbräuchliche Einnahme von psychoaktiv wirkenden Arzneimitteln, ist die Fahrerlaubnisbehörde je nach Sach- und Rechtslage im Einzelfall gehalten, weitere Aufklärungsmaßnahmen zu ergreifen, so etwa eine medizinisch-psychologische Untersuchung durch eine amtlich anerkannte Begutachtungsstelle anzuordnen oder die Fahrerlaubnis unmittelbar zu versagen. Im Falle einer weiterführenden Untersuchung erfolgt eine gesonderte Anordnung.

Mir wurde von der FS-Stelle am Telefon gesagt, dass ich eine MPU absolvieren muss, falls das Gutachten bestätigt, dass ich Tilldidin/Modalert/Badesalze konsumiert habe.
Ich kann aktuell 12 Monate Abstinenz auf Drogen erweitert mit Opioiden + Modafinil + 3 Monate Alkohol nachweisen. Diesen Nachweis hat die FS-Stelle auch.
Zu den Badesalzen: Ich habe diese nie konsumiert/besessen, das waren CBD Kristalle aus einem deutschen Onlineshop mit Laborzertifikat. Diese wurden auf der Polizeiwache mit einem Schnelltest fälschlicherweise als Badesalze identifiziert. Das wird mir der Arzt aber nicht glauben, oder?

Mein Plan für das Gutachten ist folgender (Lügen habe ich Rot eingefärbt):

Ich sage ich habe die Substanzen nie konsumiert. Ein Freund von mir aus meinem alten Freundeskreis hat damals regelmäßig Tillidin konsumiert, sowie Modafinil zum lernen verwendet. Er kaufte außerdem Badesalze im Internet ein. Er schenkte mir diese Substanzen, dass ich sie auch mal probieren kann. Ich wollte das Angebot damals nicht ablehnen, um nicht als Weichei vor ihm dazustehen, hatte aber nie vor die Substanzen zu konsumieren. Damals war ich sozial sehr ängstlich und dieser Freund plus diese Freundesgruppe waren meine einzigen Kontaktpersonen. In der Freundesgruppe war Konsum alltäglich.
Jetzt ist die Frage: Erwähne ich das ich seit März 2023 in Therapie bin und meine sozialen Ängste gut in Angriff genommen habe(eine große Angst von mir war tatsächlich, dass Leute schlecht über mich denken könnten) oder könnte mir das weitere Probleme bereiten? Meine Therapeutin könnte mir ein Attest über meine Therapie schreiben und meinen positiven Verlauf und Prognose erwähnen.

Inzwischen habe ich keinen Kontakt mehr zu diesen Leuten und mir zwei neue Freundesgruppen aufgebaut (die Leute habe ich im Soziale Arbeit und Psychologie Studium kennen gelernt) . Ich bin mir bewusst, dass dies dumm war. Inzwischen lebe ich ein sehr geordnetes Leben, fokussiere mich auf meinen Studiengang und habe keinerlei Kontakt zu konsumierenden Personen.
Ich würde diese Geschichte erst erzählen, wenn der Arzt mich überhaupt frägt, woher ich die Substanzen hatte und warum. Ich benötige ja eine glaubhafte Geschichte, warum ich diese Substanzen besessen habe. Denkt ihr ich muss genaue Namen nennen?

Eine andere Variante wäre noch: Ich sage, dass ich die Substanzen für einen damaligen Freund verwahrt habe, der mit dem Konsum aufhören wollte und sie mir geschenkt hat. Ich finde die obere Variante aber glaubwürdiger, wie seht ihr das?

Der Führerscheinstelle ist bekannt dass ich Cannabis konsumiert habe (Trunkenheitsfahrt, mehr Infos siehe Profilfragebogen). Denkt ihr ich werde zu dem Cannabiskonsum auch gefragt, er kommt ja in den Fragestellungen nicht vor. Falls ja, wäre es vermutlich am schlausten zu sagen, dass ich damals unregelmäßig mit der besagten Freundesgruppe konsumierte, oder?
Was haltet ihr von dieser Strategie? Eine bessere fällt mir nicht ein.
Wie hoch schätzt ihr meine Chancen ein das Gutachten so zu bestehen?
Habt ihr noch Tipps wie ich mich darauf vorbereiten kann?
Mein Verkehrstherapeut meinte er kann mir dabei nicht groß helfen und glaubt nicht das ich mit einer Lügengeschichte Erfolg haben werde. Ich versuche möglichst viel im Forum und Internet zu lesen.

Andere Sache:
Mir wurde vor einem Monat ADHS diagnostiziert und ich möchte schnellstmöglich Medikamente einnehmen. Mit Ritalin (Btm-Medikament) werde ich warten bis das alles vorbei ist, um zu verhindern, noch ein Ärztliches Gutachten angeordnet zu bekommen. Allerdings könnte mir meine Psychiaterin ein Antidepressivum (Bupropion, nicht Btm, Spiegelmedikament, geringes missbrauchspotential) verschreiben, das auch gegen ADHS helfen kann. Denkt ihr ich könnte Probleme mit der FS-Stelle bekommen, wenn ich das Medikament einnehme, bzw. bei dem ärztlichen Gutachten bekannt wird, dass ich es einnehme? Ich vermute mal, dass bei dem Gutachten mit Fragebögen abgefragt wird, ob ich zur Zeit Medikamente einnehme.

Vielen Dank für eure Hilfe schon mal im Voraus
Tom
 
Zuletzt bearbeitet:
Hier nochmal die PDF als Screenshots. Könnte ein Admin/Mod bitte die pdf aus dem vorherigen Post entfernen? Man kann wenn man sie herunterlädt die schwarzen Übermalungen löschen :(. Danke!
 

Anhänge

  • IMG_5535.png
    IMG_5535.png
    1,3 MB · Aufrufe: 203
  • IMG_5536.png
    IMG_5536.png
    2,1 MB · Aufrufe: 212
  • IMG_5537.png
    IMG_5537.png
    1,8 MB · Aufrufe: 201
  • IMG_5538.png
    IMG_5538.png
    1,7 MB · Aufrufe: 198
Wenn du das, was rot markiert sagst, könnte sich der Arzt/Gutachter fragen „Warum hat er es denn nicht entsorgt, wenn er nie vor hatte, das zu konsumieren“

Hättest du eine Antwort auf die Frage?
Das ist meine Meinung dazu
 
Ich kann aktuell 12 Monate Abstinenz auf Drogen erweitert mit Opioiden + Modafinil + 3 Monate Alkohol nachweisen.

Hat die Untersuchung ein für die MPU zugelassenes Labor unter entsprechenden Bedingungen durchgeführt? Untersuchungen anderer Labore sind zwar nett, aber für Führerscheinfragen unzureichend, da sie zu leicht manipuliert werden können.

einem Schnelltest fälschlicherweise als Badesalze identifiziert

Hast du das in den Akten korrigieren lassen? Falls nicht sind deine Angaben nicht beachtenswert. Weder bei einem ärztlichen Gutachten noch bei der MPU darst du der Aktenlage widersprechen.

dass ich die Substanzen für einen damaligen Freund verwahrt habe, der mit dem Konsum aufhören wollte und sie mir geschenkt

Bist du bereit den Namen des Freundes zu nennen? Der große Unbekannte ist unglaubwürdig. Auch wenn du deine vermeintliche Ehre ins Spiel bringen willst: "Der hat mich zwar reingeritten, aber meine Ehre verbietet mir trotzdem ihn zu nennen, da er grade ... (unglaubwürdige Problem-Begründung) hat.

Noch zu den Abstinenznachweisen: Es interessiert nicht (nur), ob du aktuell keine Drogen nimmst. In dem ärztlichen Gutachten geht es um die Fragen

Nimmt bzw. nahm Herr ...
...
Wird bzw. wurde die ...

Auch wenn du in der Vergangenheit mißbräuchlich Drogen eingenommen hast führt das zu einer Versagung des Führerscheinantrags und gegebenenfalls zu einer MPU.

Den Konsum einfach mit einer unglaubwürdigen Geschichte zu leugnen ist in der Regel nicht erfolgreich.
 
Wenn du das, was rot markiert sagst, könnte sich der Arzt/Gutachter fragen „Warum hat er es denn nicht entsorgt, wenn er nie vor hatte, das zu konsumieren“
Ich legte es in die Schublade zu den anderen Konsum Utensilien und ignorierte die Drogen und Medikamente dann. Sie zu entsorgen widerstrebte mir, da ich sie ja geschenkt bekommen habe und das als unhöflich gegenüber den damaligen Freund empfand. Falls er sie wieder zurück haben wollte, hätte ich sie ja nicht mehr gehabt. Ist das glaubwürdig? Stell gerne noch mehr Fragen.
Hat die Untersuchung ein für die MPU zugelassenes Labor unter entsprechenden Bedingungen durchgeführt? Untersuchungen anderer Labore sind zwar nett, aber für Führerscheinfragen unzureichend, da sie zu leicht manipuliert werden können.
Ja, in einem akkreditierten Labor.
Hast du das in den Akten korrigieren lassen? Falls nicht sind deine Angaben nicht beachtenswert. Weder bei einem ärztlichen Gutachten noch bei der MPU darst du der Aktenlage widersprechen.
Nein, wollte das vor 6 Monaten machen, mein Anwalt meinte das wird nicht mehr funktionieren, da die Substanzen schon vernichtet sein werden.
Bist du bereit den Namen des Freundes zu nennen? Der große Unbekannte ist unglaubwürdig. Auch wenn du deine vermeintliche Ehre ins Spiel bringen willst: "Der hat mich zwar reingeritten, aber meine Ehre verbietet mir trotzdem ihn zu nennen, da er grade ... (unglaubwürdige Problem-Begründung) hat.
Ich kann keine Namen nennen, da diese Geschichte auch erfunden wäre. Höchstens Vornamen, aber das wird die Sache ja nur teilweise glaubwürdiger machen.

Den Konsum einfach mit einer unglaubwürdigen Geschichte zu leugnen ist in der Regel nicht erfolgreich.
Das ist mir bewusst, mir fällt aktuell nur keine bessere Strategie ein. In dem Moment wo ich den Konsum zugebe, falle ich ja direkt durch. Falls du andere Vorschläge hast, sag sie mir gerne.

Danke für eure Hilfe und grüße
 
In dem Moment wo ich den Konsum zugebe, falle ich ja direkt durch.

Richtig.

Falls du andere Vorschläge hast, sag sie mir gerne.

Ich kenne weder deine Geschichte hinreichend noch die Aktenlage. Zudem ist leugnen und lügen halt immer schwierig wenn die Vorwürfe im Großen und Ganzen stimmen.

Ich kann dich nur auf Schwachpunkte in deiner Geschichte aufmerksam machen, bei denen der Gutachter Bedenken haben muss.

Sie zu entsorgen widerstrebte mir, da ich sie ja geschenkt bekommen habe und das als unhöflich gegenüber den damaligen Freund empfand.

Die gute Tat gegenüber einem Unbekannten, der dich zudem in die Misere geritten hat ist wie bereits geschrieben grundsätzlich unglaubwürdig. Erst recht im Drogen- und damit Kriminellenmilieu, wo in der Praxis der Egoismus dominiert.

Der Gutachter könnte dich zum Beispiel fragen: Sie haben die bei ihnen gefundenen Drogen nicht konsumiert, weil sie die Drogen als gefährlich ansehen. Sie wollen ihrem Freund etwas Gutes tun, indem sie die Drogen für ihn aufbewahren. Wenn sie ihrem Freund die Drogen wieder zum Konsum aushändigen wissen sie also genau, das sie ihm damit mehr schaden, als wenn sie die Drogen vernichten. Wie erklären sie das?
 
Nun sollte aber an dieser Stelle nicht vergessen werden, dass es sich um ein fachärztliches Gutachten handelt, nicht um eine MPU,
Bedeutet: Der schwere, psychologische Teil entfällt.

Der Facharzt hat weder die Kompetenz noch die Aufgabe, deine Aussagen auf psychologische Schlüssigkeit oder „Alltagstauglichkeit“ zu überprüfen.

Du hast niemals illegale Substanzen konsumiert, fertig !

Die Geschichte, die du dir zurechtgelegt hast, ist für ein FäG völlig ausreichend.
 
Der Gutachter könnte dich zum Beispiel fragen: Sie haben die bei ihnen gefundenen Drogen nicht konsumiert, weil sie die Drogen als gefährlich ansehen. Sie wollen ihrem Freund etwas Gutes tun, indem sie die Drogen für ihn aufbewahren. Wenn sie ihrem Freund die Drogen wieder zum Konsum aushändigen wissen sie also genau, das sie ihm damit mehr schaden, als wenn sie die Drogen vernichten. Wie erklären sie das?
Aus heutiger Perspektive stimme ich Ihnen voll zu. Damals mit 16 Jahren sah ich Drogenkonsum als nicht so risikoreich/ gefährlich an. Ich hatte die Risiken für den Freund im Bewusstsein. Danke dir!

Kann ich meine Therapie erwähnen ohne der Führerscheinstelle einen Grund für ein weiteres Gutachten zu geben? Ich denke, dass ich dem Arzt ggü. besser erklären kann warum ich mich nicht getraut habe die Substanzen abzulehnen, wenn ich die Sozial Phobie erwähne. Ich werde meine Therapeutin fragen, was für Diagnosen sie in ein Attest schreiben würde. Ich denke wenn sie das ADHS erwähnen will, ist es es schlauer das ganz zu verschweigen, oder?

Hat noch jemand Tipps bezüglich der Sache mit ADHS? Warten wird hier das schlauste sein , oder?

Gibt es bei einem ärztlichen Gutachten auch Reaktionstests? Kann man sich sonst noch vorbereiten?
 
Nein, nicht erwähnen !
Das „Wichei“ reicht völlig aus.

Mache keine weiteren „Baustellen“ diesbezüglich auf.

Reaktionstests beim FäG sind mir nicht bekannt, nur eine ärztliche Untersuchung mit Gespräch.
 
Hallo zusammen,

ich habe am Dienstag mein FäG. Ich vermute mal, dass ich einen Fragebogen über meinen Drogenkonsum in der Vergangenheit ausgehändigt bekomme. Der Führerscheinstelle/Begutachtungsstelle ist bekannt, dass bei mir Zuhause diverse Cannabis Konsum Utensilien gefunden worden sind (Vaporizer, Bong, leere Plastiktüten mit Anhaftungen, Grinder, Kartuschen mit THC Öl).
Mein Plan ist falls ich nach meinem Cannabis/Drogen Konsum gefragt werde anzugeben, dass ich 2/3 mal pro Monat Cannabis konsumiert habe. Also:
von meinem Geburtstag im Februar 2021 - August 21 (Trunkenheitsfahrt). Das wären ca 15-20 mal.

Meiner Meinung nach ist das nach aktueller Rechtslage kein Problem für meine Fahreignung oder? Ich habe im Internet recherchiert und bin zum Entschluss gekommen, dass das wohl die beste Strategie ist, weil es wäre ja total unglaubwürdig zu sagen, dass ich nur 1/2 mal konsumiert habe wenn ich diverse Cannabis Konsum Utensilien zuhause hatte. Kann ich das so angeben?

Viele Grüße und vielen Dank
 
Ich habe noch einmal das Schreiben der FEB gelesen…
Es gab keinen Bluttest, richtig ?
Gab es einen positiven Vortest ?
Warum bist du angehalten worden ?

Oder habe ich etwas überlesen ?:smiley2204:
 
Doch ich wurde auf einem E Scooter mit 1.5ng THC und 0.57 Promille angehalten. In der Akte steht aber, dass das nach der neuen Gesetzgebung irrelevant ist. Bei einer Zimmerdurchsuchung wurden dann Modafinil, Tillidin, Badesalze und Cannabis Konsum Utensilien gefunden.
 
Zurück
Oben